Research Article - International Research Journal of Agricultural Science and Soil Science ( 2023) Volume 12, Issue 5
Received: 15-Jul-2023, Manuscript No. IRJAS-23-106399; Editor assigned: 17-Jul-2023, Pre QC No. IRJAS-23-106399 (PQ); Reviewed: 31-Jul-2023, QC No. IRJAS-23-106399; Revised: 13-Sep-2023, Manuscript No. IRJAS-23-106399 (R); Published: 20-Sep-2023, DOI: 10.14303/2251-0044.2023.31
Low soil fertility is a major constraint that limits wheat production in Ethiopia. Application of Potassium (K)fertilizer in the area is limited. This study aimed to assess K status, adsorption capacity of soils andto determine K requirements for wheat. Eight Kebeles from the district were selected. Soil analysisshowed that pH of soils were ranged from neutral to strongly acidic; clayey in texture; low to moderate% OM and total N; moderate to high CEC; medium to very high Ca and Mg and medium to high contentsof K were recorded. The pot experiment laid out was in Complete Randomized Design (CRD) with threereplications using Danda’a wheat variety as a test crop. K was determined from filtrate of 2.5 g of soil in25 mL solutions of 0, 25, 50, 75, 100, 125, 150, 175, 200, 225 and 250 mg/L K. Soils of the experimentalsites showed different K adsorption characteristics and their adsorption rates ranged from 51.82 to70.08%. The highest adsorption rate recorded on vertisols. The adsorption data fitted better toFreundlich model, and used to compute K doses for pot application. The study found that wheat growthand yield parameters were increased as K increased and reached their optimum levels of 148 kg/haand 145 kg/ha of K that produced 3,556 kg/ha and 4,826 kg/ha of wheat at each sites. Internal Krequirements were 0.77% and 0.78% for Godnamamas and Cheki, respectively. Generally, wheat yieldshowed a significant response to K fertilizer.
Adsorption isotherm, Freundlich model, Potassium, Vertisols, Wheat
Potassium is an essential element for all plants that plays a major role in ensuring maximum growth and economic yields from agricultural farms. Management of K and other essential nutrients are keys to achieving a balanced fertility program. Potassium deficiency is associated with soil acidity occurring in areas where there is high rainfall and crop production has been practiced for many years. In such situations, most of the cations including K are leached and mined as a result deficiency of such essential elements could occur (Abay A et al., 2004).
Potassium adsorption (transformation of available K forms into unavailable ones) in soils influences the effectiveness of fertilization in soil-plant system. Adsorption characteristics of the soils are being changed by long term cropping and continuous cropping increased significantly the K adsorption. It is important to understand the mechanism that involves adsorption of K in soil, because soils may contain widely variable pools of K that are potentially mobilized by chemical weathering of soil minerals. Potassium adsorption process is controlled by the equilibrium among the K retained by the interlayer sites, the surface and edge sites of mineral crystal lattice and the K in soil solution. The major factors affecting the equilibrium are clay minerals types, pH, Soil Organic Matter (SOM), hydroxide aluminum, soil moisture status, Cation Exchange Capacity (CEC) and fertilization (Abiye A et al., 2004).
Wondwosen and Sheleme indicated that K was deficient in different parts of the country. In line with this, out of the assessed vertisols dominated soil reference groups of Tigray region in northern Ethiopia, 76% were deficient in K. On the other hand, farmers conventionally apply wood ash on their plots to increase productivity this is also a sign that K is limiting on the soils since wood ash contains more than 50% of K (Amoakwah E et al., 2013).
On the bases of soil analysis conducted in Amhara national regional state on 12,500 composite soil samples collected from 134 districts has been characterized by K deficiency which extends more than 90% of the agricultural land, mainly on acid soils and clay soils (vertisols) as indicated in fertilizer recommendation for Amhara region (Arif M et al., 2017).
Knowledge about K adsorption of soils is necessary to predict the fate of added K fertilizers in soils and to make precise K fertilizer recommendations. Therefore, K fertilization is important factor to meet the K requirements of the wheat cropping system. There is little information available relating to potassium adsorption characteristics of vertisols and acidic soils. This study was conducted to assess the status of K in soils and to determine the external and internal K requirements for wheat based on adsorption isotherm soil testing method for vertisols and acidic soils of central highlands of Ethiopia (Asmare M et al., 2015).
Description of the study area
The soil sampling sites was Angolelana Tera district, North Shewa zone of Amhara national regional state, Ethiopia, during the growing season of 2018/19. The mean annual minimum and maximum temperature of the district is 6.5°C and 18°C, respectively (Backett P, 1964). The annual rain fall ranges between 800 mm and 1200 mm with a long term average of 1100 mm. Ethio GIS soil shape files showed that the main soil types were Eutric Cambisols, Eutric Vertisols and Eutric Leptosols. The study area is generally suitable for cereal crops, including wheat production (Figures 1 and 2).
Site selection, soil sampling and soil analysis
Preliminarily a district which has acidic soils and vertisols that have consistently been under cultivation was selected based on soil fertility status Atlas of Amhara region. Eight Kebeles from the district (four acidic soils and four vertisols) were selected. Five bulk soil sub-samples (0 cm-20 cm depth) were collected at random with a zigzag technique from each sampling site to make one composite soil sample with the help of a soil auger (Bahmanyar M et al., 2008).
The collected soil samples were mixed thoroughly in a clean plastic to make composite soil samples (Bangroo S et al., 2012). The sample was air dried, ground and passed through 2 mm sieve for analysis of selected physical and chemical properties and determination of total nitrogen and organic carbon (Table 1).
| Sites Longitude (E) | Latitude (N) | Altitude (m.a.s.l.)* |
|---|---|---|
| Godnamamas 39024'5.6'' | 9023'9.00'' | 2833 |
| Elani 39025'29.3'' | 9020'33.4'' | 2758 |
| Goliba 39018'18.6'' | 9020'42.5'' | 2870 |
| Fito 39020'9.5'' | 9022'35.5'' | 2932 |
| Cheki 39023'39.6'' | 9028'22.5'' | 2832 |
| Serite 39025'57.7'' | 9030'48.9'' | 2836 |
| Chefanan 39027'12.7'' | 9032'46.6'' | 2789 |
| Bura 39027'15.3'' | 9031'55.2'' | 2775 |
Note: *m.a.s.l.=meters above sea level.
Table 1. Locations of the sampling sites.
Determination of fraction of potassium forms in soils
Water soluble K was extracted with distilled water (1:5 soil solutions) by shaking the suspension on a reciprocating shaker at 25°C for 30 min, after which the clear extract was separated via centrifugation and K was determined by flam photometer (Baque M et al., 2006).
The exchangeable K was determined with neutral 1M NH4OAc (1:10 soil solution ratio) after shaking for 60 min at 25°C, and filtered before analysis. Then, exchangeable K was calculated as the difference between water soluble K and NH4OAc extractable K (Brar M et al., 2004).
The non-exchangeable K was estimated in 1M boiling HNO3 (1:20 soil solution) for 10 min. The suspension was filtered and the soil washed hot distilled water prior to analysis. 1 M boiling HNO3 extractable K represents ammonium acetate extractable K plus non-exchangeable K. Hence, non-exchangeable K was obtained by deducting the ammonium acetate extractable K from 1 M boiling HNO3 extractable K. All the K forms in the extract were determined by flame photometry (Ghiri M et al., 2011).
The total amount of K was determined by digesting the soil samples using mixture of strong acids. The soil samples of 0.5 g were added into 10 ml distilled water containing concentrated HNO3- (5 ml), HF (4 ml), and HClO4- (1 ml) in digestion vessel. Digestion was done for 20 minutes at 210°C. After that 30 ml of 30% boric acid was added to each vessel and the digestion was continued for 5 minutes at 210°C. After completing the digestion, the mixtures were cooled, diluted with distilled water and filtered into 100 ml volumetric flasks. The volumetric flasks were filled up to 100 ml with distilled water. Potassium contents of the digested soil samples were measured by flame emission using flame photometer (Hazelton P et al., 2007).
Potassium adsorption
Single point K adsorption test: The single point adsorption test was conducted and it was taken as the amount of K adsorbed expressed as a percentage of initially added K. 2.50 grams of the soil sample was put in 25 mL solutions of 0.01 M CaCl2 that contain K concentrations of 125 mg/L and shaken for 24 hours at 25°C ± 1°C to achieve equilibration; centrifuge at 3600 revolutions per minute for 10 minutes and then filtered through Whatman filter paper No 42. The concentration levels of K in the filtrate were measured using a flame photometer (Henry P et al., 2003). Pasricha outlined that the quantities of K adsorbed were calculated from the difference between the initially applied K and the total amount of K present in the equilibrium soil solution K concentration. The K adsorption capacity was also calculated as described by Huang and Jin as follows.
K adsorption capacity (mg/kg)=Added K–Extractable K
| K adsorption (%)= | (K adsorption capacity × 100)
|
Potassium adsorption experiments
The adsorption experiment was done for all soil samples collected from eight sites. Solutions with K concentrations of 0, 25, 50, 75, 100, 125, 150, 175, 200, 225, and 250 mg/L K+ were prepared from Potassium Chloride (KCl) source based on Omanga et al., level of rating. The quantities of K adsorbed (q) by the soils were calculated from the difference between the initially applied K and the total amount of K present in the equilibrium soil solution K concentration.
q=(Ci–Cf)*V/m (1)
Where:
q=Amount of adsorbed K.
Ci=The initial K concentration added.
Cf=Final equilibrium concentrations of K in the solution.
m=Mass of the soil used.
V=Volume the solution.
The K adsorption capacity was also calculated as follows:
K adsorption capacity (mg/kg)=added K−extractable K
| K adsorption (%)= | K adsorption capacity × 100
|
Then the K adsorption data were fitted into linearized Langmuir and Freundlich adsorption equation.
Langmuir adsorption isotherm model.
The equation for this model fits monolayer reactions. The linearized form of the equation was given below.
Ce
q |
= | 1
kb |
+ | Ce
b |
Where;
Ce=The equilibrium solution K concentration (mg/L).
q=The mass of K adsorbed per unit mass of soil (mg/kg).
K=Constant related to bonding energy of K to the soil.
B=Maximum K adsorption capacity of the soil.
Freundlich adsorption isotherm model
This model gave a closer description of the real adsorption phenomena in the soil. The un-linearized form of the equation was shown in equation 3.
q=aCeb (3)
By rearranging and log transforming equation 3,
Logq=log a+blog Ce (4)
Where;
q=Mass of K adsorbed per unit mass of soil (mg/kg).
Ce=Equilibrium concentration of K solutions (mg/L)
a and b=Constants obtained from the intercept and slope respectively.
Potassium fertilizer dosage for pot experiments
For these studies of adsorption, both experimental sites were better described by Freundlich isotherm model. Amount of q (kg/ha)=2*amount of q (mg/kg).
According to EthioSIS K is applied separately as KCl at the rate of 100 kg/ha and from this amount 52.41% was K.
Y=0.826x+1.634, from the Freundlich isotherm graph of Godnamamas soil (Figure 3).
Therefore, q (mg/kg)=52.41/2=26.21 mg/kg
q=aCeb,
Where;
Ce=Theoretical equilibrium concentration of K (mg/L)
Log q=log a+b log Ce, Where a=y-intercept, b=slope of the plot
Ce=0.55 mg/L and its half 0.275 mg/L was taken to optimize and set the K rates and to evaluate the effects of K below the recommended one (Table 2).
| Treatment | Ce(mg/L) | q(mg/kg) added | q (kg/ha)added | |||
|---|---|---|---|---|---|---|
| Cheki | Godna | Cheki | Godna | Cheki | Godna | |
| 1 | 0 | 0 | 0 | 0 | 0 | 0 |
| 2 | 0.46 | 0.28 | 14 | 15 | 30 | 30 |
| 3 | 0.92 | 0.55 | 26 | 26 | 53 | 52 |
| 4 | 1.37 | 0.83 | 36 | 37 | 73 | 74 |
| 5 | 1.83 | 1.1 | 46 | 46 | 92 | 92 |
| 6 | 2.29 | 1.38 | 55 | 56 | 110 | 112 |
| 7 | 2.75 | 1.65 | 65 | 65 | 129 | 130 |
| 8 | 3.21 | 1.93 | 72 | 74 | 145 | 148 |
| 9 | 3.66 | 2.2 | 81 | 82 | 162 | 164 |
| 10 | 4.12 | 2.48 | 89 | 91 | 178 | 182 |
| 11 | 4.58 | 2.75 | 98 | 99 | 193 | 198 |
Note: Ce=Theoretical equilibrium K concentration, Godna=Godnamamas
Table 2. Computed K doses applied to wheat crop in pot experiments.
Similarly, Ce was computed to calculate K doses for Cheki experimental sites based on its adsorbing capacity.
Experimental treatments, design and management
A pot experiment was conducted on wheat in plastic house at Debre Berhan university. The experiment was carried out in 2018/19 GC on two soils and wheat as a testing crop (Huang W et al., 1996). Soils were acidic and vertisols. This experiment was laid out in Complete Randomized Design (CRD). Ten different K fertilizer doses were subjected to different pots and this was replicated three times. Pots on both experimental soils without K application (0 kg/ha K) were taken as a control treatment (Hussain A et al., 2006). For all treatments including the control recommended rates of fertilizer 100 kg/ha NPSB and 200 kg/ha urea were applied (Table 3).
| Treatment | KCl applied for each pot | |||
|---|---|---|---|---|
| Cheki | Godnamamas | |||
| KCl (gram) | KCl (kg/ha) | KCl (gram) | KCl (kg/ha) | |
| 1 | 0 | 0 | 0 | 0 |
| 2 | 0.3 | 57 | 0.3 | 57 |
| 3 | 0.53 | 100 | 0.52 | 99 |
| 4 | 0.73 | 139 | 0.74 | 141 |
| 5 | 0.92 | 175 | 0.92 | 175 |
| 6 | 1.1 | 210 | 1.12 | 213 |
| 7 | 1.29 | 246 | 1.3 | 248 |
| 8 | 1.45 | 276 | 1.48 | 282 |
| 9 | 1.63 | 310 | 1.64 | 312 |
| 10 | 1.79 | 340 | 1.82 | 347 |
| 11 | 1.92 | 365 | 1.98 | 377 |
Table 3. Amount of KCl added for each treatment as a source of K.
Determination of external potassium requirement
The external K requirement of wheat could be estimated from a plot of different rates of applied K (kg/ha) against grain yield data obtained from the pot by using linear plateau and quadratic plateau regression models (Hussain N et al., 2011).
Determination of internal potassium requirement
Internal K requirement of wheat was determined at crop maturity by making a graph of K concentration in grain and maximum attainable 95% relative yield (Jafari S et al., 2007).
Data analysis
Analyses Of Variance (ANOVA) were carried out using Statistical Analysis Software (SAS) version 9.4 programs. Whenever treatment effects were significant, mean separations were made using Duncan’s Multiple Range Test (DMRT) at the 5% level of probability as outline by Gomez and Gomez (Kebede F et al., 2009).
Soil physico-chemical properties before planting
According to Tekalign rating, these soils were classified neutral to strongly acidic. The CEC values fall under moderate to high rate and had medium to very high values of Ca2+ and Mg2+ content. The exchangeable K+ and Na+ (cmol (+)/kg) values ranged from medium to high levels in accordance with Hazelton and Murphy nutrient ratings (Kenyanya et al., 2013). Among all the sampling sites lowest level of K were found at Godnamamas (0.57 cmol (+)/kg) and at Cheki site (0.60 cmol (+)/kg). The OM contents values fall under low to moderate ranges. The total N levels rated as low to medium level. According to the rating developed by Olsen the soils of the experimental sites were low to moderate in available P. The exchangeable acidity of the study sites was ranged from 0.15 to 0.35 of the acidic soils (Table 4). The soil textural classes of soils across all locations of the study areas were clay.
| Location | pH (1:2.5) | CEC | Exchangeable (cmol (+)/kg) | OM% | T.N (%) | Av. P (mg/kg) | Ex. Acidity cmolc (+)/kg | Texture | Texture class | |||||
|---|---|---|---|---|---|---|---|---|---|---|---|---|---|---|
| Ca2+ | Mg2+ | K+ | OM% | sand | clay | silt | ||||||||
| % | ||||||||||||||
| Godna | 6.85 | 31.3 | 19.8 | 7.6 | 0.57 | 0.44 | 1.54 | 0.081 | 5.21 | - | 14 | 70 | 16 | clay |
| Fito | 6.34 | 32.7 | 23.4 | 8.3 | 0.96 | 0.65 | 1.55 | 0.076 | 7.74 | - | 12 | 68 | 20 | clay |
| Golba | 5.93 | 33.9 | 20.7 | 10.8 | 1.05 | 0.71 | 1.81 | 0.088 | 17.28 | - | 18 | 64 | 18 | clay |
| Elani | 5.54 | 35.5 | 11.5 | 8.9 | 0.8 | 1.61 | 2.36 | 0.121 | 7.62 | - | 16 | 70 | 14 | clay |
| Bura | 5.75 | 21.8 | 21.2 | 11.2 | 1.05 | 1.1 | 3.72 | 0.191 | 10.86 | 0.17 | 24 | 50 | 26 | clay |
| Serti | 4.95 | 32.1 | 19.7 | 10.4 | 0.79 | 0.89 | 4.17 | 0.212 | 9.06 | 0.35 | 24 | 44 | 32 | clay |
| Chefana | 5.45 | 23.9 | 11.3 | 9.8 | 1.11 | 1.31 | 4.32 | 0.221 | 14.41 | 0.15 | 26 | 42 | 32 | clay |
| Cheki | 5.4 | 20.1 | 10.5 | 9.5 | 0.6 | 0.32 | 3.17 | 0.154 | 7.02 | 0.23 | 14 | 60 | 26 | clay |
Note: CEC=Cation exchange capacity, K=Potassium, Ca=Calcium, Mg=Magnesium, OM=Organic matter, T.N=Total nitrogen, Av. P=Available phosphorus, Godna-Godnamamas.
Table 4. The physical and chemical characteristics of surface soils of the study sites.
Fraction of potassium forms in soils
Water soluble potassium was ranged from 42.9 mg/kg to 191.1 mg/kg with a mean of 117 mg/kg. The amount of water soluble K was higher at Elani as compared to the other experimental sites and vertisols of the Mediterranean region that contained from 5 to 19 mg/kg. Relatively, the lowest amount of water soluble K found at Godnamamas. Vertisols had a relatively lower water soluble K than acidic soils (Khan O et al., 2002).
Exchangeable fraction of potassium; the NH4OAc extracted K varied from 234 mg/kg to 288.6 mg/kg. The lowest amount of NH4OAc extractable K was found at Elani and highest was obtained from soils of Serite. Similarly, Yohannes et al., also reported that NH4OAc-K had a contribution of 4.01% to 7.47% of the total K at Yegelaw and Dibisasoils.
Non-exchangeable fraction of potassium; the amounts of K extracted by 1M boiling HNO3 were ranged from 424 mg/kg to 684 mg/kg. This fraction of K constituted 5.88% to 9.48% of the total K. The current result was lower as compared to Yohannes et al., who reported that the HNO3 extractable K ranged from 489.6 mg/ha to 1156.8 mg/ha on vertisols.
Total potassium in the studied soils was ranged from 3,940 mg/kg at Bura to 9,800 mg/kg at Godnamamas with a mean value of 7212.5 mg/kg. In the present study 94.72% of the total K was unavailable to plant growth. Similarly, Ghiri and Abtahi reported that 90%-98% of all soil total K were relatively unavailable form and mostly found in crystalline structure of feldspars andmicas (Table 5).
| Location | Water | NH4OAc-K | 1M | Total-K |
|---|---|---|---|---|
| Soluble-K | HNO3-K | |||
| …………mg/kg………… | ||||
| Godnamamas | 42.9 | 265.2 | 424 | 9800 |
| Fito | 58.5 | 249.6 | 460 | 7280 |
| Golba | 62.4 | 265.2 | 520 | 7920 |
| Bura | 101.4 | 269.1 | 600 | 3940 |
| Serti | 117 | 288.6 | 452 | 9440 |
| Chefana | 128.7 | 276.9 | 540 | 6760 |
| Cheki | 152.1 | 261.3 | 684 | 7460 |
| Elani | 191.1 | 234.1 | 520 | 5100 |
Table 5. The different K forms in soils of the study area extracted by chemical solutions.
Potassium adsorption
Single point K adsorption test: The value of the single point K adsorption test, expressed as a percentage, and their adsorption rate across the eight soils were ranged from 51.82% to 70.08% (Table 6). The highest adsorption rate was recorded on vertisols (at Godnamamas) as compared to acidic soils. This might be due to relatively higher clay content and CEC values of Vertisols. In line with this, Zhang et al., and Jafari and Baghernejad reported that black soils with high clay content and CEC value, fix more K as compared to soils with low clay content and CEC. Among acidic soils, relatively higher adsorption rate was recorded at Cheki. Therefore, based on this single point K adsorption test result the two sites (Godnamamas and Cheki) which had high adsorbing capacity were selected for pot experiment to determine external and internal K requirement of wheat for optimum wheat yield.
| Vertisols | Acidic soils | |||||||
|---|---|---|---|---|---|---|---|---|
| Sites | Godnamamas | Elani | Goliba | Fito | Cheki | Serite | Chefanan | Bura |
| Ci (mg/L) | 125 | 125 | 125 | 125 | 125 | 125 | 125 | 125 |
| Cf (mg/L) | 37.4 | 45.6 | 46.62 | 41.5 | 53.1 | 55.84 | 60.23 | 54.2 |
| q (mg/kg) | 876 | 794 | 783.8 | 835 | 719 | 691.6 | 647.7 | 708 |
| Kad. (%) | 70.1 | 63.5 | 62.7 | 66.8 | 57.5 | 55.3 | 51.8 | 56.6 |
Note: Ci=Initial K conc., Cf=Final equilibrium conc., q=K adsorbed (q=(ci-cf)*V/m), V=Solution volume, m=Mass of the soil, Kad=Potassium adsorption percentage.
Table 6. Single point K adsorption test for eight sampling sites.
Potassium adsorption experiments
The percent of K adsorbed was not uniformly increased with increasing K concentrations. However, adsorption and equilibrium concentration were increased with increasing K concentration for all soils. Soils with high adsorption capacity had low exchangeable K (Table 7), indicating that more of the applied K might be adsorbed by the soils as compared to those with low adsorption capacity, which is in agreement with finding reported by Pannu and Singh. On the other hand, the lowest K adsorption capacity and the highest equilibrium K concentration were observed for Chefanan soil. This could be due to low clay content as compared to other sites. The equilibrium K concentration ranged from 6.9 to 9.75 mg/L for 25 mg/L of added K and from 84 mg/L to 124.3 mg/L for 250 mg/L of added K. Here, the lowest equilibrium K was found at Godnamamas for both minimum and maximum rate of added K.The high K in equilibrium solution for 25 mg/L of added Kwas Serite and for 250 mg/L was Chefanan. Bangroo et al., alsofound that soils with high clay and CEC values fixed more K ascompared to soils with low clay and CEC values. Generally,from the amount of K adsorbed by each of the eights oil series,it is evident that each soil has a different capacity to adsorb K.
| Trt | Site 1 | Site 2 | Site 3 | Site 4 | Site 5 | Site 6 | Site 7 | Site 8 | |||||||||
|---|---|---|---|---|---|---|---|---|---|---|---|---|---|---|---|---|---|
| Ci | Ce (mg/l) | q (mg/kg) | Ce (mg/l) | q (mg/kg) | Ce (mg/l) | q (mg/kg) | Ce (mg/l) | q (mg/kg) | Ce (mg/l) | q (mg/kg) | Ce (mg/l) | q (mg/kg) | Ce (mg/l) | q (mg/kg) | Ce (mg/l) | q (mg/kg) | |
| 1 | 0 | 3.4 | -34 | 4.3 | -43 | 4.8 | -48 | 3.9 | -39.9 | 7.9 | -79 | 8.9 | -89.3 | 8.9 | -89.6 | 8.1 | -81.4 |
| 2 | 25 | 6.9 | 181 | 8.7 | 163 | 9.1 | 159 | 7.7 | 172.7 | 8.6 | 164 | 9.7 | 152.8 | 9.8 | 152.5 | 8.9 | 161.4 |
| 3 | 50 | 11.6 | 384 | 14.4 | 356 | 14.6 | 354 | 12.9 | 370.1 | 19.2 | 308 | 21.7 | 283.1 | 21.8 | 282.2 | 19.8 | 302.2 |
| 4 | 75 | 20.9 | 541 | 25.8 | 492 | 27.1 | 479 | 23.4 | 515.9 | 31.1 | 440 | 35.1 | 399.7 | 35.2 | 398.4 | 31.9 | 430.7 |
| 5 | 100 | 28.7 | 713 | 35.2 | 648 | 35.8 | 642 | 32.1 | 678.6 | 41.4 | 586 | 46.8 | 532.2 | 46.9 | 530.4 | 42.6 | 573.6 |
| 6 | 125 | 37.4 | 876 | 45.6 | 794 | 46.6 | 784 | 41.5 | 835 | 53.1 | 719 | 55.8 | 691.6 | 60.3 | 647.7 | 54.2 | 708.1 |
| 7 | 150 | 46.1 | 1039 | 57.1 | 929 | 59.5 | 905 | 51.6 | 983.7 | 66.7 | 833 | 75.4 | 746.3 | 75.7 | 743.4 | 68.7 | 813 |
| 8 | 175 | 53.5 | 1215 | 66.3 | 1087 | 68.7 | 1063 | 59.9 | 1150.8 | 80.1 | 949 | 90.5 | 844.9 | 90.9 | 841.4 | 82.5 | 925.1 |
| 9 | 200 | 72 | 1280 | 88.9 | 1111 | 90.8 | 1092 | 80.6 | 1193.6 | 99.7 | 1003 | 112.7 | 873.4 | 113.1 | 869.1 | 102.7 | 973.1 |
| 10 | 225 | 72.4 | 1526 | 101.3 | 1237 | 98.7 | 1263 | 94.1 | 1309.2 | 102.1 | 1227 | 115.6 | 1094.1 | 117.4 | 1076 | 106.6 | 1183.9 |
| 11 | 250 | 84 | 1660 | 114.6 | 1354 | 116.5 | 1335 | 104.8 | 1451.7 | 104 | 1456 | 117.9 | 1320.3 | 124.3 | 1257.1 | 112.9 | 1371.5 |
Note: Trt=Treatment, q=(Ci–Ce)*v/m, Site 1-Godnamamas, 2-Elani, 3-Goliba, 4-Fito, 5-Cheki, 6-Serite, 7-Chefanan, 8-Bura
Table 7. Amount of K adsorbed (q) and the equilibrium K concentration (Ce) at different initial K concentration (Ci) doses.
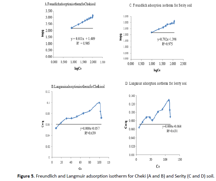
Langmuir adsorption isotherm
When all the adsorbed K data of eight samples were plotted in Langmuir adsorption isotherm by taking Ce/q against q, their R2 values showed relatively a less fit. The R2 value ranged between 0.631-0.919. The Langmuir adsorption isotherm relatively did not fit well to all K adsorption data of the soils under the study area as compared to Freundlich which had superior R2 values.
Freundlich adsorption isotherms
A plot of log q against log Ce gave linear graphs and the values of R2 ranged between 0.965–0.989 with a mean value of 0.977.
These indicated a higher agreement of the adsorption data to Freundlich model than Langmuir, thus the Freundlich isotherm could be considered as the better model for the description of the K adsorption characteristics of the soils in this particular study area. This is in agreement with Chaudhry et al., and Hussain et al., who reported that, values of data obtained from Freundlich equations was depend on the concentration of K in the soil solution. The K adsorption data which were fitted to Langmuir and Freundlich models are shown in Figures 3-6.
Potassium Buffering Capacity (KBC)
Potassium buffering capacity is the soils capacity to resist change in K concentration in the soil solution. It is also defined as the capacity of soil to maintain a given K level in soil solution. High values of buffering capacity are indicative of adequate K availability for long periods while low value imply that a need for frequent fertilization. Potassium buffering capacity is obtained from the slope of the adsorption isotherms (Table 8).
| Sites | a (mg/kg) | b (kg/mg) | R2 |
|---|---|---|---|
| Godnamamas | 43.05 | 0.826 | 0.982 |
| Elani | 39.36 | 0.766 | 0.966 |
| Goliba | 36.31 | 0.779 | 0.965 |
| Fito | 41.67 | 0.765 | 0.97 |
| Cheki | 28.18 | 0.811 | 0.985 |
| Serite | 25 | 0.792 | 0.975 |
| Chefanan | 25.64 | 0.779 | 0.987 |
| Bura | 28.18 | 0.796 | 0.989 |
Table 8. Potassium adsorption parameters of the Freundlich model across eight soil samples.
The constant b (Equation 6) also represents the buffering capacities of soils. In the present study, the buffering capacities that resist the change in K, ranged from 0.765 kg/mg at Fito to 0.826 kg/mg at Godnamamas with a mean of 0.796 kg/mg. These value lies between 0 and 1 which was closer to 1 that indicated us soils of the studied area had a slight surface heterogeneity. The soils become more heterogeneous as the value gets closer to zero and a value below unity implies chemisorptions process. Similar to the current result Mesfin et al., reported that Freundlich slope for all soils approaching unity indicating all soils were homogenous in Wolaita of Southern Ethiopia.
The adsorption capacities of all the studied soils ranged from 25.00-43.05 mg/kg with a mean of 33.42 mg/kg. The value indicated the amount of K held on exchange site of the soil colloids. In the current study the adsorption capacities of vertisols were higher than acidic soils. This might be due to a relatively higher clay content of vertisols. On the same way, Kenyanya et al., also reported, as the adsorption capacities of Kenya soils ranged from 4.977 mg/kg-11.091 mg/kg with a mean of 6.993 mg/kg.
The correlation between percent K adsorbed and some soil properties
Percent K adsorbed had a correlation with some soil properties. In the current study it had a significant positive correlation with clay content (r=0.795), CEC (r=0.855) and pH (0.784) of soils as shown in Table 9. This result was in line with Bangroo et al., who reported that high adsorption capacity of a soil was due to high pH, greater CEC and highest fraction of clay contents. Similarly, the results agreed with the findings of Zhang et al., who found similar correlation that soils containing high clay content and CEC fixed more K as compared to those with low clay content and low CEC. Furthermore, Samadi described that, the amount and type of clay minerals affect the distributions of K between exchange and solution phases. Additionally, Loannou et al., also reported that there was a positive association between pH and K adsorption (Table 9).
| % K adsorbed | Clay | CEC | pH | |
|---|---|---|---|---|
| % K adsorbed | 1.00 | |||
| Clay | 0.795* | 1.00 | ||
| CEC | 0.855* | 0.795* | 1.00 | |
| pH | 0.784* | 0.898** | 0.567NS | 1.00 |
Note: *at P <0.05, **at P<0.01,NS at P>0.05, K-potassium, CEC-cation exchange capacity, pH-potential of hydrogen.
Table 9. Cross correlation among percent K adsorbed and some soil properties.
Relationship between K forms and some selected soil properties
Results of simple correlation analysis between different forms of K and the selected soil properties were given in Table 10. In this study, a significant positive correlation (P<0.05) was observed between water-soluble K and NH4OAc-K forms with r=0.84. This might be due to fact that exchangeable K is released into the soil solution from the exchange complex when plants deplete the soluble potassium. Similar to this study, Samadi et al., showed that significantly a positive correlation between water soluble K and NH4OAc-K.
Water soluble K and NH4OAc-K forms of K had a positive correlation (P<0.05) with organic matter with correlation coefficients (r) of 0.83 and 0.76 respectively. Similar to this finding, Amoakwah and Frimpong reported that in tropical soil, soluble and exchangeable K forms positively correlated with organic matter. Water-soluble K had a negative correlation with CEC and pH. The negative correlation observed between soil pH and water soluble K might be due to the nature of the parent material enriched with K-bearing minerals such as micas and feldspar (Table 10).
| Sand | Silt | Clay | pH | OM | CEC | NH4OAc-K | WSK | HNO3-K | Total-K | |
|---|---|---|---|---|---|---|---|---|---|---|
| Sand | 1 | |||||||||
| Silt | 0.76* | 1 | ||||||||
| Clay | -0.93** | -0.95** | 1 | |||||||
| pH | -0.64ns | -0.89** | 0.82* | 1 | ||||||
| OM | 0.85* | 0.97*** | -0.97*** | -0.85* | 1 | |||||
| CEC | 0.05ns | -0.40ns | 0.20ns | 0.34ns | -0.34ns | 1 | ||||
| NH4OA | 0.83* | 0.71ns | -0.81* | -0.67ns | 0.76* | -0.03ns | 1 | |||
| WSK | 0.45ns | 0.84* | -0.70ns | -0.85* | 0.83* | -0.70ns | 0.84* | 1 | ||
| HNO3- | 0.09ns | 0.31ns | -0.22ns | -0.43ns | 0.38ns | -0.52ns | -0.13ns | 0.72ns | 1 | |
| Total-K | 0.08ns | 0.10ns | 0.02ns | 0.13ns | 0.21ns | 0.22ns | 0.38ns | 0.06ns | 0.36ns | 1 |
| WSK=Water Soluble K | ||||||||||
Table 10. Relationship between K forms and some selected soil properties.
Effects of different level of K application on growth, yield component and yield of wheat under pot experiment
Crop phenological data days to 50% emergence: Days to emergence were not significantly (p>0.05) affected by different rates of K fertilizer at both Cheki and Godnamamas experimental sites. This could be due to the fact that roots and shoot protrusion of the embryo is entirely dependent on endosperm nourishment rather than external nutrient.
Because of this, significant variation was not observed on days to emergence by application of different rates of K fertilizer and fertilizer sources. This is in agreement with the findings of Khan et al., who reported that plants depend mostly on stored food or reserved food for its germination than external nutrients for germination until it becomes autotrophic. Similarly, Eyoel et al., reported that days to emergence were not significantly different due to the application of different rates of K (Table 11).
| Treatment | Godnamamas | Cheki | ||
|---|---|---|---|---|
| Parameters | ||||
| DE | DH | DE | DH | |
| 1 | 6.33 | 66.00 | 7.00 | 68.67 |
| 2 | 6.0 | 66.67 | 6.67 | 67.67 |
| 3 | 7.33 | 73.00 | 6.00 | 70.33 |
| 4 | 7.00 | 70.00 | 6.33 | 73.67 |
| 5 | 7.00 | 71.00 | 7.67 | 74.33 |
| 6 | 6.33 | 72.33 | 6.67 | 74.33 |
| 7 | 6.67 | 74.00 | 6.67 | 75.67 |
| 8 | 7.00 | 78.00 | 6.33 | 79.33 |
| 9 | 7.00 | 75.67 | 6.67 | 76.67 |
| 10 | 7.00 | 75.00 | 6.67 | 77.67 |
| 11 | 6.67 | 71.67 | 6.33 | 76.00 |
| P value | NS | *** | NS | *** |
| CV (%) | 12.93 | 3.26 | 11.49 | 1.73 |
Note: Means in the same column followed by different letters are significantly different. NS at P>0.05, *** significant at P ≤ 0.001, CV=Coefficient of variation, DE=days to 50% emergence and DH=days to 50% heading.
Table 11. Mean values of days to 50% emergence and days to 50% heading of wheat as affected by different rates of K fertilizer at Godnamamas and Cheki experimental sites.
Days to 50% heading
The analysis of variance results showed that days to heading were significantly (p<0.001) affected by different rates of K fertilizer on both experimental sites (Table 11). With increasing applied K fertilizer, there was statistically different time required for heading. This finding showed that on pots without K addition needed a shorter time for heading. When K nutrients increased, a delay in wheat heading was observed. This prolonged period of heading might be due to high role of K in the activation of enzymes which involves in the production of ATP that regulate the rate of photosynthesis and used as the energy source for many other chemical reactions. As the availability of K is more and more to plants there is high probability of that crop to stay in vegetative phase with extended heading period. This result was similar with Tariq and Shah whose experiment was conducted on wheat and reported that application of different rates of K fertilizer had a significant effect on days to 50% heading. Tahir et al., also reported statistically significant result due to the effect of K fertilizer on maize under irrigation in Pakistan.
Crop growth parameters plant height
Different rates of K fertilizers had significant effect on plant height of wheat in both experimental sites (Table 12). Statistically the tallest wheat height (69.30 cm and 69.17 cm) were recorded from pots which received 148 kg K/ha and 164 kg K/ha at Godnamamas. At Cheki the tallest wheat height (70.9 cm-71.77 cm) was recorded from pots treated with 73 kg K/ha-145 kg K/ha. The shortest PH (52.23 cm and 52.1 cm) were recorded from pots received 0 kg K/ha in both sites and from 52 kg K/ha at Godnamamas (Table 12). Similarly, Bahmanyar and Ranjbar, Tahir et al.; Hussain et al.; Eyoel et al.; reported same findings. For instance, Bahmanyar and Ranjbar reported significantly higher plant height of wheat from application of K fertilizer and the lowest plant height was observed from treatment where no fertilizer was applied.
Number of tillers per plant
Results of analysis of variance indicated that number of tillers per plant had significantly affected by different rates of K fertilizer (Table 12) at both Godnamamas and Cheki experimental areas. As shown in Table 12, the highest number of tillers per plant was obtained from experimental pot which received K fertilizer application of 148 kg/ha at Godnamamas and 145 kg K/ha at Cheki as compared to the control in both experimental sites. However, at Godnamamas this parameter was not statistically significant with other K fertilizer rates. Application of 148 K/ha and 145 kg K/ha had increased the number of tillers per plant by 15.72% at Godnamamas and 23.26% at Cheki experimental sites as compared to pots with control (0 kg K/ha) treatments (Table 12). In similar manner, the control treatment showed lower number of tillers as compared to the other rates and relatively pots that received higher K dose also showed lower number of tillers in both experimental sites. These indicate that wheat had shown positive response for external application of K fertilizer until optimum level. Potassium plays a foremost role in translocation of carbohydrates, photosynthesis, water relations, resistance against insects and diseases and sustains balance between monovalent and divalent cations, where accumulation of photo assimilate is essential for cell growth and development in plants.
| Treatment | Godnamamas | Cheki | ||||
|---|---|---|---|---|---|---|
| Parameters | ||||||
| PH (cm) | NTP | NFTP | PH (cm) | NTP | NFTP | |
| 1 | 52.23d | 3.43c | 3.03c | 52.10c | 3.33c | 3.03d |
| 2 | 56.93cd | 3.57bc | 3.27abc | 60.30b | 3.37bc | 3.07d |
| 3 | 53.63d | 3.73abc | 3.23abc | 66.00ab | 3.50bc | 3.13cd |
| 4 | 63.30abc | 3.57bc | 3.20bc | 70.90a | 4.10a | 3.20cd |
| 5 | 60.60abcd | 3.57bc | 3.27abc | 68.30a | 3.63bc | 3.37bc |
| 6 | 61.07abcd | 3.80abc | 3.53a | 71.13a | 4.10a | 3.50ab |
| 7 | 66.30ab | 3.89ab | 3.45ab | 71.73a | 4.17a | 3.57ab |
| 8 | 69.33a | 4.07a | 3.53a | 71.77a | 4.30a | 3.67a |
| 9 | 69.17a | 3.73abc | 3.20bc | 65.60ab | 4.10a | 3.53ab |
| 10 | 60.73abcd | 3.93ab | 3.47ab | 68.43a | 3.73b | 3.37bc |
| 11 | 57.73bcd | 3.77ab | 3.13c | 70.73a | 3.69bc | 3.37bc |
| Pvalue | ** | * | * | *** | *** | *** |
| CV(%) | 7.88 | 5.46 | 4.83 | 5.5 | 5.14 | 4.06 |
Note: Means in the same column followed by different letters are significantly different. *=significant at P ≤ 0.05, **=significant at P ≤ 0.01, ***=significant at P ≤ 0.001, CV=Coefficient of Variation.
Table 12. Mean values of crop growth parameters, Plant Height (PH), Number of Tiller per Plant (NTP) and Number of Fertile Tiller per Plant (NFTP) of wheat as affected by different rates of K fertilizer at Godnamamas and Cheki experimental sites.
Number of fertile tillers per plant
Number of fertile tillers per plant is one of the important yield attributes in cereals. Analysis of variance results revealed that number of fertile tillers of wheat was significantly (p<0.05) affected by different rates of K in both experimental sites (Table 12). Significantly higher fertile tiller numbers were recorded on 112 kg K/ha and 148 kg K/ha at Godnamamas and on 145 kg K/ha at Cheki as compared to the control and 198 kg/ha addition of K fertilizer at Godnamamas. Similarly, Mohiti et al., reported that number of productive tillers per plant was affected significantly by K fertilizer application. Potassium also plays a significant role in photophosphorylation, photo assimilate transport from source tissues via phloem to sink tissues, stress tolerance and enzyme activation in plants Usherwood, which is crucial for enhancement of reproductive parts of the plant.
Yield and yield components of wheat spike length
Applications of different K rates had shown a significant (p<0.01) effect on wheat at both experimental area. In Godnamamas the highest spike length (8.5 cm) were found at the rate (148 kg K/ha) and the lowest value (6.1 cm) were recorded from the control (Table 13). In Cheki the highest spike length (6.42 cm) were found at the rate (145 kg K/ha) but statically similar result was obtained from application of 110 and 162 kg K/ha, and the lowest value (4.5 cm) were recorded from the control. Kiran et al., also suggested that application of K fertilizer source increased the dynamics of K in the soil and resulted increments in relation to growth, yield and yield component of plants.
Number of seed per spike
As shown in Table 13, number of seeds per spike of wheat was significantly (p<0.05) affected by different rates of K at Godnamamas and Cheki experimental areas. The lowest number of seeds per spike was obtained in the control treatment in both experimental sites. Additionally, at 198 kg K/ha a lowest number of seed was recorded at Godnamamas. On average maximum number of seeds per spike were produced at 148 kg K/ha in Godnamamas and at 145 kg K/ha in Cheki as compared to control (0 kg K/ha) treatment. In accordance to the current results, Eyoel et al., also reported that numbers of seed per spike were positively influenced by levels of K fertilizer for wheat and maize plants. Bhiah et al., also reported similar findings. Potassium has greater water use efficiency, improving growth of plants, cell division, make hydrocarbon, proteins and quick transfer towards grain.
| Godnamamas | Cheki | |||
|---|---|---|---|---|
| Parameters | ||||
| Treatment | SL | NSPS | SL | NSPS |
| 1 | 6.10 | 14.87 | 6.50 | 21.60 |
| 2 | 6.80 | 16.40 | 6.87 | 28.80 |
| 3 | 6.37 | 17.50 | 7.08 | 29.40 |
| 4 | 7.67 | 19.60 | 7.68 | 32.00 |
| 5 | 7.53 | 18.33 | 8.00 | 31.53 |
| 6 | 7.43 | 20.73 | 7.70 | 31.53 |
| 7 | 7.90 | 20.60 | 8.30 | 35.27 |
| 8 | 8.50 | 26.60 | 8.42 | 37.23 |
| 9 | 8.07 | 22.27 | 8.10 | 33.73 |
| 10 | 7.17 | 18.73 | 7.93 | 30.80 |
| 11 | 6.93 | 15.97 | 7.65 | 29.87 |
| P value | *** | * | ** | *** |
| CV (%) | 7.22 | 18.79 | 6.67 | 13.27 |
Note: Means in the same column followed by different letters are significantly different. *=at significant P ≤ 0.05, **=at significant P ≤ 0.01, ***=at significant P ≤ 0.001, CV=Coefficient of Variation.
Table 13. Mean values of yield and yield components, Spike Length (SL) and Number of Seed Per Spike (NSPS) of wheat as affected by different rates of K at Godnamamas and Cheki.
Biomass yield
Application of different rates of K fertilizer had a significant (p<0.01) effect on biological yield of wheat at both Godnamamas and Cheki experimental sites (Table 14). Mean values for K showed that the maximum biological yields (8826.5 kg/ha and 13079.4 kg/ha) were recorded on treatments that received 148 kg/ha and 145 kg K/ha at Godnamamas and Cheki respectively but the difference between the results of the two experimental sites might be due to inherent soil fertility difference. The enhancement in biological yield might be due to, an increase of K increased CO2 assimilation rate, enzyme activity, stomata closure and stabilized osmosis regulation which produced more carbohydrates that improved the grain yield and biological yield, as reported by Tababtabaei and Ranjbar and Hanif. The highest value at Godnamamas was statistically similar with treatments that received 112 and 130 kg K/ha. Similarly, at Cheki experimental site it was related with 110 and 129 kg K/ha. At Godnamamas application of 30, 52, 74 and 92 kg K/ha had no variation in results of biological yield as compared to the control. Whereas at Cheki application of 28, 53, and 91 kg K/ha had shown significant variation as compared to the control. This finding was similar with Bahmanyar and Ranjbar who observed that application of K fertilizer increased the total biomass and straw yield of wheat.
| Treatment | Godnamamas | Cheki | ||
|---|---|---|---|---|
| Parameters | ||||
| BMY (kg/ha) | GY (kg/ha) | BMY (kg/ha) | GY (kg/ha) | |
| 1 | 5461 | 2032.0 | 6476.2 | 2476.5 |
| 2 | 6794.0 | 2095.5 | 8317.5 | 2984.5 |
| 3 | 5969.0 | 2159.0 | 10031 | 3619.5 |
| 4 | 6413.5 | 2222.5 | 11047.6 | 4445.0 |
| 5 | 6477.0 | 2349.5 | 11492.0 | 4445.0 |
| 6 | 8001.0 | 2540.0 | 12000.0 | 4508.0 |
| 7 | 7048.5 | 2984.5 | 12508.0 | 4572.0 |
| 8 | 8826.5 | 3556.0 | 13079.4 | 4826.0 |
| 9 | 6858.0 | 3111.5 | 11428.6 | 4635.5 |
| 10 | 6113.5 | 2857.5 | 11174.6 | 4635.5 |
| 11 | 6032.5 | 2794.0 | 10476.2 | 4254.5 |
| P value | ** | * | *** | *** |
| CV (%) | 13.19 | 17.76 | 6.6 | 4.72 |
Note: Means in the same column followed by different letters are significantly different. *=at P ≤ 0.05, **=at P ≤ 0.01, ***=at P ≤ 0.001, CV=Coefficient of Variation
Table 14. Mean values of yield and yield components, Biomass Yields (BMY) and Grain Yields (GY) of wheat as affected by different rates of K at Godnamamas and Cheki.
Grain yield
Grain yield is the economic yield of the crop in wheat. Results of analysis of variance indicated that grain yield was significantly (p<0.05) influenced by different rates of K in both experimental sites (Table 14). As shown in Table 14, the highest grain yield of both experimental sites (3556, 4826 kg/ha) were recorded from treatments received 148 kg/ha of K at Godnamamas and 145 kg/ha of K at Cheki experimental site, but this result was statistically similar with 130, 164, 182 and 198 kg/ha of K at Godnamamas and at Cheki the highest result was statistically similar with 110, 129, 162 and 178 kg/ha of K. As compared to the control, a 42.86% grain yield increment was observed at Godnamamas site. Similarly, at Cheki site there was an increment of 48.69% in grain yield as compared to the control. The increase in grain yield might be due to maximum utilization of K by wheat that increased grains/spike, grains weight and hence grain yield. However, the higher grain yield obtained from Cheki experimental site had a variation as compared to Godnamamas. The yield difference between the two soil types might be due to the variations in the inherent soil fertility of the two experimental sites. A relatively higher percentage of OM, TN, Av. P and exchangeable cations (Ca2+, Mg2+ and K+) were recorded at Cheki experimental site (Table 4). Similar to the current results, EthioSIS and MoA, reported that application of potash fertilizer (KCl) increased crop yield by a mean of about 13% to 62%. In the same way, Hillette et al., reported that up to 7.6 ton/ha wheat grain yield were reported due to K and P application Cheffe Donsa and Akaki. In line with the current results, Arif et al., reported that grain yield of wheat was increased with the increasing in K fertilizer rate. Likewise, Baque et al., also showed that applications of K fertilizer improved the yield irrespective of moisture stress. The positive effect due to applications of K could be because of K major roles in several metabolic processes such as protein synthesis and osmotic adjustment. Khan et al., and Wassie and Tekalign reported that application of different levels of K significantly affected grain yield of wheat. Wassie also indicated similar findings on the effect of K on grain yield on which K fertilization was effective in attaining higher grain yield of wheat.
The exchangeable K+ (cmol (+)/kg) values ranged medium to high in the experimental sites, despite the high exchangeable K level in the soils, wheat responded to K fertilizers and showed a remarkable increment in the grain yield. This might be due to the soil’s exchangeable K was fixed by the clay and unavailable to plants. Additionally, the status of Mg2+ in the experimental sites ranged from medium to high levels. This also might affect the availability of K to crops. According to Loide, higher levels of exchangeable Mg suppress K availability to plants by occupying the exchange complex.
Straw yield
The analysis of variance showed that straw yield of wheat was not significantly (p>0.05) affected by different rates of K fertilizer application at Godnamamas experimental site (Table 15). In the same way, Kiran et al., reported similar results on wheat. Whereas, the straw yield of wheat at Cheki was significantly influenced by application of different rates of K. In the current finding the straw yield increased consistently up to the application 145 kg K/ha and a slight decline was observed at higher concentration of K, this might be due to imbalance of K nutrient whereas the increment in straw yield might be due to the fact that an increase in K increases the uptake of N which results a higher vegetative growth and lead to have higher straw yield. This result was similar with Abiye et al., who reported that K application significantly increased the uptake of N in the grain and straw of wheat as well as increasing the grain yield on the Vertisols of central Ethiopia. This result also was similar with Wassie and Tekalign who reported that application of K fertilizer increased the strawyield.
Harvesting index
Application of different rates of K fertilizer had no significant (p<0.05) effect on harvesting index of wheat at both experimental sites (Godnamamas and Cheki) (Table 15). This could be due to an increased in K levels as fertilizer might have equal contribution to tiller numbers, spike length, number of seed per spike in general yield and yield components and biological yield of wheat. In line with this result, a finding showed that K effect on harvesting index was not significant, indicating that K had approximately equal positive effects on seeds (grains) and biological yields.
| Treatment | Godnamamas | Cheki | ||
|---|---|---|---|---|
| Parameters | ||||
| SY | HI | SY | ||
| 1 | 3429.0 | 0.37 | 3999.7 | 0.39 |
| 2 | 4699.0 | 0.34 | 5373.0 | 0.36 |
| 3 | 3810.0 | 0.36 | 6412.2 | 0.37 |
| 4 | 4191.0 | 0.35 | 6602.6 | 0.40 |
| 5 | 4127.5 | 0.36 | 7047.0 | 0.39 |
| 6 | 5461.0 | 0.32 | 7491.5 | 0.38 |
| 7 | 4064.0 | 0.44 | 7936.0 | 0.37 |
| 8 | 5270.5 | 0.41 | 8253.4 | 0.37 |
| 9 | 3746.5 | 0.46 | 6793.1 | 0.40 |
| 10 | 3556.0 | 0.45 | 6539.1 | 0.42 |
| 11 | 3238.5 | 0.46 | 6221.7 | 0.41 |
| P value | NS | NS | *** | NS |
| CV (%) | 27.53 | 22.16 | 10.99 | 8.18 |
Note: Means in the same column followed by different letters are significantly different. NS=at P>0.05, ***=at P ≤ 0.001, CV=Coefficient of Variation
Table 15. Mean values of yield and yield components, Straw Yield (SY) and Harvesting Index (HI) of wheat as affected by different rates of K fertilizer at Godnamamas and Cheki.
Correlations of growth parameters, yield and yield components
The Grain yield was positively correlated with aboveground biomass, straw yield, number of tillers per plant and spike length and the correlation were significant at (P<0.01). Among correlated parameters a strongly significant positive correlation was observed between the grain yield and biomass yield with a higher correlation of (r=0.881) which was followed by plant height with a correlation coefficient of r=0.791 (Table 16). Biomass yield had most strong correlation with plant height with r=0.796. In the same way, number of seed per spike had strong positive correlation with spike length with r=0.641. Straw yield also had a strong correlation with biomass yield with r=0.962. The positive and significant correlation coefficient between plant height and other growth and grain yield components explains the true relationship between the parameters and these characters had high correlation and high direct effect. In the present study the high correlations between growth parameters, yield and yield components might be due to positive response of K fertilizer application. While K involved in many physiological process, its impact on water relation, photosynthesis, assimilate transport and enzyme activation can have direct consequence on crop productivity.
| NTP | NFTP | PH | SL | NSPS | GY | BMY | HI | SY | |
|---|---|---|---|---|---|---|---|---|---|
| NTP | 1 | 0.665*** | 0.588*** | 0.609*** | 0.635*** | 0.749*** | 0.739*** | 0.092NS | 0.655*** |
| NFTP | 1 | 0.615*** | 0.720*** | 0.584*** | 0.727*** | 0.711*** | 0.062NS | 0.627*** | |
| PH | 1 | 0.673*** | 0.620*** | 0.791*** | 0.796*** | 0.059NS | 0.715*** | ||
| SL | 1 | 0.641*** | 0.729*** | 0.766*** | -0.020NS | 0.706*** | |||
| NSPS | 1 | 0.625*** | 0.716*** | -0.130NS | 0.694*** | ||||
| GY | 1 | 0.881*** | 0.290NS | 0.720*** | |||||
| BMY | 1 | -0.19NS | 0.962*** | ||||||
| HI | 1 | -0.441NS | |||||||
| SY | 1 |
Note: NTP=Number of Tiller per Plant and NFTP=Number of Fertile Tiller per Plant, PH=Plant Height, SL=Spike Length, NSPS=Number of Seed Per Spike, GY=Grain Yield, BMY=Biomass Yield, HI=Harvesting Index, SY=Straw Yield.
Table 16. Correlations of growth parameters, yield and yield components of wheat.
Determination of potassium requirements
The K requirement of wheat crop was determined on the basis of near maximum (95% of the attainable maximum yield) crop yield. Fertilizer requirements are crop specific and site specific and can be estimated as external and internal K requirements.
External K requirements of wheat
A plot of different rates of applied K against grain yield data of wheat obtained from the pot experiment were used to find the optimum levels of K required by wheat for optimum yield and yield components of wheat by linear plateau and quadratic plateau regression models as shown in the Figures 7 and 8 for Godnamamas and Cheki, respectively. For both experimental sites the data fitted well to the quadratic plateau regression model with a relatively higher R2 (0.67) value than the linear plateau (R2=0.65). Therefore, the model estimated that the highest grain yield of wheat (3556 kg/ha) obtained from the application of 148 kg/ha of K at Godnamamas.
Similarly, for Cheki experimental site, the model estimated that for highest grain yield of wheat (4826 kg/ha) 145 kg/ha of K was applied. Therefore, the external requirements of K for optimum yield of wheat for both experimental sites were 148 kg/ha and 145 kg/ha of K for Godnamamas and Cheki experimental sites, respectively. Similar to this finding, Yohannes et al., also used the linear and quadratic plateau regression for optimization of K for the highest grain yield of chickpea.
Internal K requirements of wheat
Internal K requirements of wheat were determined at crop maturity (grain) by drawing the graph of K concentration in grain (%) against maximum attainable 95% relative yield as shown in Figures 9 and 10 for Godnamamas and Cheki experimental sites, respectively. The values obtained from the plot were 0.77% for wheat obtained from Godnamamas and 0.78% from Cheki. This implies that when the crops passed through reproductive phase, the K which is highly mobile within the plant was shifted to the seed.
The low crop productivity in Ethiopia is caused by high soil nutrient depletion, low soil inputs, land degradation and poor land management practices. Soils in the highlands of Ethiopia, are characterized by low soil fertility; poor in available plant nutrients, OM and soil acidity.
Application of K as a fertilizer has been limited in Ethiopian soils due to the previous belief that Ethiopian soils are rich in K, which undermined the importance of K fertilizations, Therefore, this study was aimed to assess K status, adsorption capacity of soils and to determine external and internal requirement of K for optimum yield of wheat on soils of Angolelana Tera district, central highlands of Ethiopia.
A composite surface soil samples (0 cm-20 cm depth) from eight Kebeles were collected before planting and analyzed in laboratory. The soil analysis indicated that the pH of the soil was ranged from 4.95 to 6.85 which were ranged neutral to strongly acidic; clayey in texture; low to moderate contents of OM and total N; moderate to high rate of CEC; medium to very high levels of Ca and Mg and medium to high contents of K were recorded in the experimental sites.
At first, single point K adsorption test for each soil sample was done and the values ranged from 51.82% to 70.08%. Based on these results two sites (Godnamamas and Cheki) that had high adsorbing capacities were selected for pot experiment.
Adsorption data obtained from eleven rates (0, 25, 50, 75, 100, 125, 150, 175, 200, 225 and 250 mg/L) of K were fitted to Langmuir and Freundlich isotherms. As compared to Langmuir model, the data fitted better to Freundlich isotherm with superior r2 values which ranged between 0.965-0.989 with a mean value of 0.977 that showed us the soils were heterogeneous with unlimited adsorption sites for K adsorption. Freundlich isotherm used also in the determination of K- fertilizer dosages for pot applications. Percent K adsorbed had also a positive correlation with some soil properties such as clay content, CEC and pH of soils.
Wheat was grown under the application of ten different K fertilizer doses with control on pot in plastic house. Hence, all treatments received the same amount of NPSB, urea and necessary management practices. Application of different rates of K significantly affects crop growth parameters (such as plant height, number of tillers per plant, number of fertile tillers per plant), yield and yield components of wheat (spike length, number of seed per spike, biomass yield and grain yield). The highest grain yield (3556, 4826 kg/ha) were recorded under 148 and 145 kg/ha application of K on soils of Godnamamas and Cheki respectively. However, these results were statistically similar with 130, 164, 182 and 198 kg K/ha on soils of Godnamamas and with 110, 129, 162 and 178 kg K/ha on soils of Cheki. These all resulted from maximum utilization of K by wheat crops.
The water soluble K ranged from 42.9 mg/kg to 191.1 mg/kg with a mean of 117 mg/kg. It was higher at Elani and lowest at Godnamamas. The NH4OAc-K varied from 234 mg/kg to 288.6 mg/kg K. The amount of K extracted by 1M boiling HNO3-K ranged from 424 mg/kg to 684 mg/kg. Total K in the studied soils were ranged from 3,940 mg/kg to 9,800 mg/kg with a mean value of 7,212.5 mg/kg.
The buffering capacities of soils were ranged from 0.765 to 0.826 kg/mg with a mean of 0.796 kg/mg. High values of buffering capacity were indicative of adequate K availability for long periods while low value implied that a need for frequent fertilization.
The external K requirements were 148 kg/ha and 145 kg/ha of K for soils of Godnamamas and Cheki, respectively and the internal K requirements were found 0.77% and 0.78% for Godnamamas and Cheki soils, respectively for obtaining 95% relative yield of wheat. From this study it can be concluded that application of adsorption isotherm in Freundlich model was quite effective in determining the K requirement of wheat. External and internal K requirement of wheat was found for obtaining 95% relative yield of wheat. However, a further research is still needed on this aspect to formulate a concrete fertilizer recommendation by using the model approach.
This finding could create awareness to which amount of K has been adsorbed on soils of the study area for policy makers and farmers and helps to take appropriate measures. However, the experiment was done on pot if this trail repeated on field at different sites for different crops; it will lead us to draw a correct fertilizer recommendation.
[Crossref]